近日,省教育厅公布了全省第七届大学生艺术展演活动暨全省首届“美的教育”高校师生书画设计作品展评选结果,beat365荣获优秀组织奖,学校师生在艺术表演、艺术作品、学生艺术实践工作坊、高校美育改革创新优秀案例等项目中取得优异成绩。

获奖名单
在艺术表演类节目中,声乐(甲组·集体)作品《侗家姑娘爱唱歌》荣获二等奖;器乐(乙组·集体)作品《苗寨随想》获得三等奖;声乐(乙组·个人)作品《与你相见若如初》荣获三等奖;声乐(甲组·个人)作品《忽然之间》《我的美丽》荣获三等奖;器乐(乙组·个人)作品《布依寨的春天》荣获一等奖;朗诵(甲组·个人)作品《军礼》荣获二等奖;朗诵(乙组·个人)作品《红色的十月》荣获三等奖。



艺术表演类获奖名单
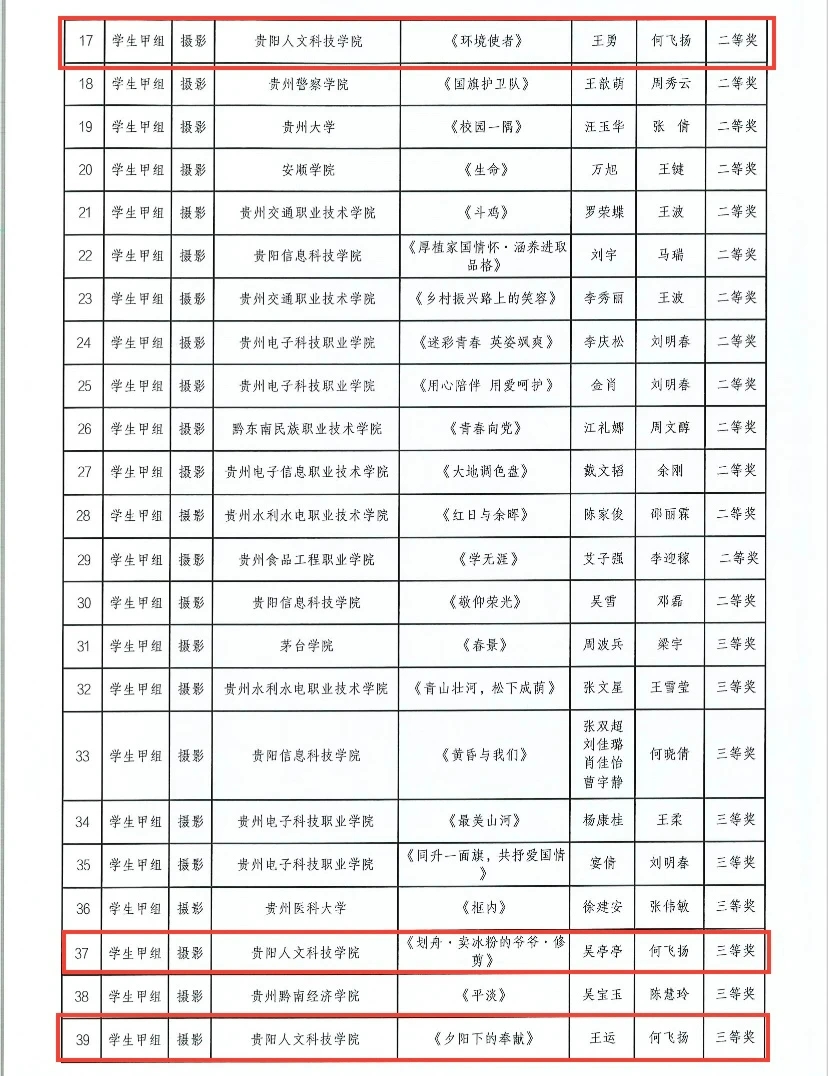
在艺术作品展演中,beat365师生也取得了丰硕成果。刘加坤老师的绘画作品《黔园秋色》获教师风采一等奖;汤雷老师的书法作品《世说新语·德行篇》获教师风采三等奖。学生乙组绘画作品《竟·象NO:9》获三等奖;学生乙组设计作品《食物链》获二等奖,《朝气青春·活力人文》获三等奖。此外,学生摄影作品在比赛中也有着出色表现,甲组作品《与光同尘·只此青绿》《黑夜的“微光”》《工匠精神》获一等奖,《打包》《环境使者》获二等奖,《划舟·卖冰粉的爷爷·修剪》《夕阳下的奉献》《镇山好风光》获三等奖;乙组作品《舞者》获三等奖。







艺术作品展演获奖名单
在高校美育改革创新优秀案例项目中,体育与艺术学院王可老师的《以美育人,润物无声》荣获三等奖。
在学生艺术实践工作坊展演中,建筑工程学院学生作品《筑梦前行》、大数据与信息工程学院学生作品《程序员的白日梦》荣获三等奖。


学生艺术实践工作坊展获奖名单
厚植家国情怀,涵养进取品格,践行“美的教育”。大学生艺术展演活动开展以来,学校积极组织全校师生参与,举办了“美的教育”校院长圆桌论坛、“动之灵·悦之舞”舞蹈大赛、“墨鸣生活·笔舞青春”书画大赛,以及“宋时明月·辉耀云江”宋词吟唱表演比赛等各类活动。在丰富的校园文化生活中,激发了青年学子与时代同向、与祖国同行,胸怀家国,奋力筑梦的价值追求,在学习中践行“美的教育”,展现崇高的审美追求和人格修养。